DISPONIBILIDAD DE DISPOSITIVO
Se considera que hay varios dispositivos del mismo tipo (homogéneos), calculándose la disponibilidad por comparación de cada dispositivo con el resto. En el caso de inversores la homogeneidad implica que sean del mismo fabricante y la misma potencia nominal, y en caso de contadores basta con que se encuentren midiendo la energía generada por uno o varios inversores que sumen la misma potencia nominal.
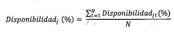
En una instalación con M dispositivos homogéneos se calcula la disponibilidad de un dispositivo 'j' para un día como la media disponibilidad 'i' en N intervalos horarios:
- Disponibilidad 'j': la disponibilidad del dispositivo 'j' en el día.
- Disponibilidad 'jt': la disponibilidad del dispositivo 'j' en el intervalo 't'.
- N: el número de intervalos horarios desde que se cumplan alguno de los siguientes criterios:
- La radiación acumulada es superior a un umbral. Por defecto el umbral es de 100 (Wh/m2).
- SUMATORIO(j=1,M) Ej >= UmbralCoef (%) * M * Potencia Nominal Dispositivo (kW) * 1 (h)
UmbralCoef es un coeficiente configurable que tiene por defecto el valor del 20%.Hasta que dejen de cumplirse ambos criterios ininterrumpidamente hasta el final del día (teniendo en cuenta que sino existe sonda de radiación solamente se considerará el criterio 2).
- Ejt: la producción del dispositivo j en el intervalo horario t.
- UmbralProducción: un coeficiente en % configurable. Por defecto el 80%.
- SUMATORIO(J=1, M-1) Ejt: el sumatorio de la producción de todos los dispositivos, menos la del dispositivo j.
DISPONIBILIDAD DE PLANTA
Partiendo de la disponibilidad de un dispositivo j, la disponibilidad de la planta k es:

Es decir, se da un peso en el cálculo de la disponibilidad de planta en función de la potencia nominal del dispositivo. Donde M es el número de dispositivos (inversores o contadores) de la planta.
DISPONIBILIDAD DE INSTALACIÓN
Partiendo de la disponibilidad de una planta k, la disponibilidad de la instalación es:

Es decir, se da un peso en el cálculo de la disponibilidad de instalación en función de la potencia pico de cada planta. Donde P es el número de plantas de la instalación.
Como me imagino, existirán otros criterios para realizar los cálculos de disponibilidad propuesto, por lo que sería bueno que comentaseis al respecto para poder globalizar aún más la idea.



Madre mía! Podría decir muchas cosas de esto... pero sólo diré una: nun entiendo na! Aunque también podría preguntar: ¿qué ye la disponibilidad? Me lo aclare oiga:: aunque releyendo el post, creo que al menos ya me enteré de lo que es el concepto, la disponibilidad son les hores rentables que somos capaces de sacai a la instalacion ¿no? jajajajja
ResponderEliminarAl menos ya has dado el primer paso, entiendes el concepto básico de "disponibilidad".
ResponderEliminarUna aclaración más sobre la disponibilidad, pero ahora teniendo en cuenta el mantenimiento en las instalaciones, y el tiempo que esto conlleva:
ResponderEliminarInicialmente señalamos el primer nivel, el nivel general:
**"Tiempo Requerido (TO)": El utilizador exige que el bien esté en estado de cumplir una función requerida.
En el segundo nivel, relacionados independientemente con el primer nivel, se encontrarían:
*"Tiempo efectivo de disponibilidad": El bien es apto para cumplir su función.
**"Tiempo efectivo de indisponibilidad (TA)": El bien no es apto para cumplir la función.
En el tercer nivel se encontrarían, dependiendo del "Tiempo efectivo de disponibilidad":
**"Tiempo de Funcionamiento (TBF)": El bien cumple su función.
**"Tiempo de Espera (TAF)": El bien es apto, pero no es utilizado.
Dependiendo del "Tiempo efectivo de indisponibilidad (TA)", encontraríamos:
**"Tiempo de Espera (TAF)": El bien es apto, pero no es utilizado.
**"Tiempo propio de indisponibilidad (TAM)": El bien no es apto a causa de las tareas de mantenimiento.
**"Tiempo de indisponibilidad (TAF)": El bien es apto, pero no puede funcionar por causas externas: paradas de las compañías eléctricas, siniestros,...
Por lo que el cálculo del "Tiempo Requerido" se realizará mediante la siguiente fórmula:
TO = SUMATORIO(TBF) + SUMATORIO (TAM) + SUMATORIO (TAF)
"En el siguiente enlace se adjunta un gráfico con estos datos":
http://www.megaupload.com/?d=VD8IU9L0
FIABILIDAD, MANTENIBILIDAD Y DISPONIBILIDAD
ResponderEliminarLa vida útil de un equipo depende principalmente de la Fiabilidad, de la Disponibilidad y de la Mantenibilidad.
R (t) = FIABILIDAD - Probabilidad de Buen Funcionamiento. MTBF = Media de Tiempos de Buen Funcionamiento.
M (t) = MANTENIBILIDAD - Probabilidad de duración de una reparación. MTTR = Media de Tiempo de Técnicas de Reparación.
D (t) = DISPONIBILIDAD - Probabilidad de asegurar un servicio requerido.
D = MTBF / (MTBF - MTTR)
Mediante este triángulo de relaciones, podemos establecer (como se ve en la fórmula) la disponibilidad de un equipo.
"Estos conceptos también son aplicables a un dispositivo, una planta y una instalación fotovoltaica".
La leche Victor....espero que al "correcaminos" no le de por leer tu blog xD
ResponderEliminarDicen que hay que buscar la sencillez de las cosas, pero creo que este no es el caso.
Un saludo :)
amigo me puede ayudar con la bibliografía de donde sacó las fórmulas, lo necesito para un trabajo de investigación, espero que me pueda ayudar, muy buen trabajo por cierto muy entendible
ResponderEliminar